
Klik hier voor uw donatie!
Omdat de donatie link iedere maand vernieuwd moet worden
en wij niet weten wanneer de huidige link verloopt
staat hieronder ook ons bankrekeningnummer vermeld
waarmee je rechtstreeks kan doneren, waarvoor dank!!
NL62 INGB 0007 9180 81 t.n.v. Stichting Bilabwa
Sumayya, Naomi en Jos spelen benefietoptredens t.b.v. Stg Bilabwa.
De totale opbrengst is t.b.v. schoolgeld voor de leerlingen.
Wil jij ook een benefietoptreden boeken?
Bel of e-mail gerust;
+31 (0)6 4241 0631 info@bilabwa.org
05 september 2026
4e Bilabwa Benefietconcert
Ursula Kapel
Aanvang 20:00u | entree €15,- | Voogdijstraat 24 Roermond
Bestel hier je ticket (+0,90 boekingskosten)
Jonge Kerk Roermond adopteerd drie jaar lang ons project.
Dank jullie wel voor deze mooie samenwerking.
Onderwijs is de weg naar een betere toekomst
Wij kunnen niet iedereen helpen maar wij kunnen wel ieder één helpen.
Wil jij, hoe klein dan ook meehelpen?
Doneer via bovenstaande link een bedrag naar jouw keuze
Iedere €urocent gaat in zijn geheel naar het project!
Voor informatie; info@bilabwa.org of bel 06 4241 0631
Bilabwa is ANBI gecertificeerd.

Stichting Bilabwa
Bankrekening NL62 INGB 0007 9180 81
Kvk 76 33 4252
ANBI status Ontwikkelingssamenwerking
(jouw donatie is fiscaal aftrekbaar)
Non profit Foundation
[Nieuwsbrief 24-09-2025]
Beste vrienden en sponsoren,
Zomer 2025 zijn wij , Sumayya en Naomi, naar Oeganda gereisd om de kinderen van Bilabwa
te bezoeken en samen met jullie onze missie verder te versterken.
Dankzij jullie gulle donaties, zowel financieel als in natura, konden wij kleding en speelgoed meenemen.
Daarnaast konden we ook praktische dingen aanschaffen zoals:
- Schoolmateriaal: schriften, pennen, potloden, boeken, rekenmachines.
- Hygiëne producten: zeep, tandenborstels, tandpasta, maandverband.
- Sport- en spelmateriaal: voetballen, springtouwen, kleine buitenspelletjes.
- Kleding en schoenen: vooral voor meisjes, stevige schoenen en schooltassen.
Het geld dat jullie ons toevertrouwden hebben wij zorgvuldig ingezet:
Bilabwa is sinds najaar 2025 officieel geregistreerd als stichting (NGO) in Oeganda.
Dit is een belangrijke stap omdat het ons in staat stelt nog transparanter te werken
en sterkere lokale samenwerkingen op te bouwen.
Hoofddoel van de NGO is het openen van een Oegandese bankrekening,
zodat mensen binnen Oeganda ons ook kunnen steunen zonder hoge internationale transactiekosten te betalen.
Vóór onze reis hebben we de moeilijke beslissing moeten nemen
om de Bilabwa Nursery & Primary School te sluiten.
Onder andere onzekerheden aangaande de continuïteit, financieel en het het gebruik van de compound
hebben ons doen besluiten een andere route te nemen.
Wij hebben de Ibanda Mixed Preparatory School bereid gevonden
een aantal door ons geselecteerde meiden onder hun hoede te nemen.
Zoals vanuit het begin van onze stichting als doel gesteld;
meisjes tussen de 9 en 14 jaar een kansrijkere toekomst bieden door onderwijs en sociale vaardigheden.
De kosten worden nu gereduceerd tot schoolgeld, uniformen en lesmaterialen.
We starten met 14 meiden en zullen, wanneer de middelen het toelaten,
overwegen meer meiden onder onze hoede te nemen.
Toen wij de meiden onlangs bezochten zagen wij hoe zij zich langzaam aanpassen aan de nieuwe omgeving,
nieuwe vrienden maken, hun plekje vinden en met enthousiasme verder leren.
Hoewel de verandering niet altijd gemakkelijk is, waren zij zichtbaar dankbaar.
Mede dankzij jullie steun blijft hun toekomst hoopvol en vol mogelijkheden.
Tijdens ons bezoek hebben wij ook:
- Met de schooldirectie gesproken om de prestaties van de kinderen te volgen en de verantwoording te waarborgen.
- Met enkele kinderen en hun families gesproken om hun huidige behoeften en dromen beter te begrijpen.
- Contact gelegd met lokale leiders en gemeenschapsleden
om de basis van Stichting Bilabwa in Oeganda te versterken.
- Gezocht naar toekomstige mogelijkheden tot samenwerkingen.
Wij keerden terug uit Oeganda met zowel hoop als vastberadenheid.
De kinderen bloeien dankzij jullie voortdurende steun.
Jullie vriendelijkheid of dat nu via donaties, aanmoediging of het delen van ons verhaal is maakt Bilabwa mogelijk.
Vanuit ons hart: dank jullie wel dat jullie naast ons staan.
Samen geven we kinderen niet alleen onderwijs, maar bouwen we ook aan een toekomst
en houden we dromen levend.
Met dankbaarheid, Naomi Namutebi, Sumayya Lukyamuzi en Jos van Rens
- “Het is ‘onze’ droom in de toekomst een eigen school te bouwen
- waar meiden kunnen starten met het verwezenlijken van ‘hun’ dromen”
- #durf_te_dromen
***** ***** ***** ***** ***** ***** *****
Stichting Bilabwa werkt aan een kansrijkere toekomst
voor kansarme meisjes in Kyarutanga Ibanda district in Oeganda.
Door het aanbieden van;
scholing & sport, kennis & sociale vaardigheden in teamverband.
Bilabwa Foundation, we want to create;
- a promising future for girls - Going to school
- sporting 'Football' - knowledge and social skills
* I am a Girl and YES I can do it! *
info@bilabwa.org | 0031 (0)6 4241 0631
KvK 76 33 4252 | NL62 INGB 0007 9180 81
Wat wij doen
Op deze pagina delen wij ons project

Basisgroep Jonge Kerk Roermond
De Oecumenische Basisgemeenschap Jonge Kerk, die elke zondag een viering houdt in de Ursulakapel, heeft de Stichting Bilabwa voor de komende 3 jaar (vanaf juni 2026) ‘geadopteerd’ en zal er regelmatig aandacht aan besteden tijdens de vieringen en andere activiteiten.

4e Stg Bilabwa Benefietconcert
Dit keer in samenwerking met Jonge Kerk Roermond organiseren we ons 4e benefietconcert. Wij vinden het zo ontzettend mooi door deze verbinding de meisjes in Oeganda een kansrijkere toekomst tegemoet gaan.

De mooiste Adèle songs in combinatie met Limbuganda Music
Het beloofd een hele mooie avond te worden. Van mens tot mens, elkaar zien, elkaar helpen. Elkaar raken door samen te zijn en samen te werken.
Gallery
Vooruitgang in beeld en geluid
Partners & sponsors
- Sumayya Sheeba Music
- Naomi Namutebi
- Jos van Rens Creatief
- Mariam Tebandeke
- Rhona Bugembe
- Natuurtheater MSN artiesten 2019
- PYURE MUSIC
- Platform ontwikkelingssamenwerking Maasgouw
- Gasterij Aerwinkel
- Maïra & Reinier Stiphout
- Sjra Puts
- Huub Minkenberg
- Hay Hutjens
- Mala
- Eleonora Loos
- ING Nederland
- publiek tijdens lezing Leo Bormans
- Fam. Lodewijks
- Julia Beurskens
- Marinka Koopmans
- Stg Bevrijdingsfestival Limburg
- Michelle Waaijen-Linssen
- Claudia
- Emile Waaijen
- Aerwinkeltje
- Linde, Cyriel & Janine Lendfers-Roos
- Pappyllio Creations
- Mariet Roufs & Friends
- Tiny Houses Roermond
-Taalontmoeting Sittard
- De Parel Buggenum
- Jonge Kerk Roermond
Join our Foundation
Do you want to help
young Ugandan Girls
going to school & sporting?
Wij maken ons sterk voor een zekere schoolomgeving waar de meiden veilig verblijven.
Scholing, sport, voedsel & hygiëne zijn enkele speerpunten.
Heb je vragen of opmerkingen over wij doen?
Bel of e-mail gerust.
Benefiet
huiskamer concerten
Meer weten?
Bel gerust en vrijblijvend voor informatie en of een afspraak.
Jos 06 4241 0631
dec 2019
Kerstmarkten Roermond & Maastricht
publieke fooi in de gitaarkoffer
opbrengst € 445,74
08-03-20
Private Venue Bilabwa
huiskamerconcert Roermond
Opbrengst € 167,50
23-09-20
Benefietoptreden
boekpresentatie Leo Bormans
"de knikkers van Qadir"
Gasterij Aerwinkel Posterholt
opbrengst € 133,30
31-10-20 --> uitgesteld
Benefietconcert Stg Bilabwa
Gasterij Aerwinkel Posterholt
22-12-21 / 06-01-2022
Sumayya's reis naar Uganda
School - Hospital - Bilabwa FC
04-05-2022
Sumayya Ambassadeur voor de vrede
Stg Bevrijdingsfestival Limburg
opbrengst €1000,-
26-06-2022
1e Bilabwa Benefiet Festival
Kasteel Aerwinkel Posterholt
opbrengst €1071,50
[netto €750,- exclusief 20-08-2022]
27-07-22
Theaterboerderij Boeket
Vrije giften door publiek
€50,00
20-08-2022
Benefietconcert
Sjra Puts & Friends
i.o.v. Mariet Roufs & vrienden
[netto €321.50 opvolging 27-07-2022]
11-09-2022
Kunst & Cultuur Leudal
vrije giften door publiek
€48,50
13-12-2022
Zij-actief Meijel
vrije giften door publiek
€161,17
23-12-2022
Magic Maastricht
vrije giften door publiek
€ 92,16
24-05-2023
Taalontmoeting Sittard
Vrije giften door publiek en organisatie
€185,00
26-06-2023
2e Bilabwa Benefiet Festival
Vrije giften door publiek en Kiwani Roermond
€400,-
26-10-2024
Benefiet optreden De Parel
Vrije giften door publiek
€60,-
05-09-2026
4e Benefietconcert
Ursula Kapel Roermond

PYURE for Bilabwa
Sumayya, Naomi & Jos
Geheel belangeloos spelen Sumayya, Naomi en Jos benefiet optredens voor Stg. Bilabwa.
De vrije gave opbrengst wordt in zijn geheel aan schoolgeld voor de meisjes uitgegeven.
Wil je meer weten? Stuur een email naar info@bilabwa.org of bel 0642410631 (Jos)

Mala
singer songwriter
Samen met Sumayya schreef Mala de song: You be you. Sumayya zorgde voor een koor in Uganda, zij zingen mee op de studio opname. Womenpower.
ANBI Status
Stichting Bilabwa heeft de zogenaamde ANBI status gerealiseerd.
(Algemeen Nut Beogende Instelling)
Dat wil zeggen dat gegarandeerd wordt dat wij ons inzetten voor het algemeen belang.
De Belastingdienst houdt hier controle op,
waardoor donaties aan de Stichting
fiscaal aftrekbaar zijn.
Een belastingplichtige in de inkomstenbelasting mag namelijk 1,25 keer het bedrag van de gedane gift in aanmerking nemen voor de giftenaftrek.

Bilabwa bestuursleden
Naam * functie
Sumayya S. Lukyamuzi
* voorzitter & oprichter
Naomi Namutebi
* secretaris
Jos van Rens
* penningmeester

Beloningsplan bestuurleden
In gezamenlijke overeenstemming is in de Oprichting statuten, Artikel 7.3, bepaald dat de bestuursleden geen beloning kan worden toegekend. In hetzelfde artikel is bepaald; kosten worden aan de bestuurders op vertoon van de bewijsstukken vergoed.

Beleidsplan
241109
November 2019 werd Stg Bilabwa opgericht en passeerden de statuten bij notaris Mols te Neer.
Doelstelling
Stichting Bilabwa heeft als doel; Meisjes van 8 tot 14 jaar naar school te laten gaan in Kyalutanga in de regio Ibanda te Uganda.
De geboortestreek van de voorzitter en initiator Sumayya.
Door scholing in combinatie met sport (voetbal) zorgen wij ervoor dat meisjes een kansrijkere toekomst tegemoet gaan.
Plan van aanpak
Werven van vrijwilligers voor operationele uitvoering van taken.
Aanstellen van een vrouwelijke teamcoach die de leerlingen operationeel gaat begeleiden op locatie.
Stichting Bilabwa verzameld geld in Nederland door middel van:
- Benefiet optredens door vrijwillige artiesten (b.v. huiskamer- en benefietconcerten)
- Financiële bijdrages door particulieren en of bedrijven
- Subsidie via Platvorm voor ontwikkeling samenwerking Maasgouw
Beheer vermogen
Iedere door de Stichting ontvangen euro(cent) wordt besteed aan schoolgeld voor de meisjes en benodigde materialen voor sport en lesmaterialen.
Stichting Bilabwa werkt in 2026 met een jaarbudget van circa €3.500,- om haar doelstellingen te kunnen verwezenlijken.
De bestuursleden fungeren op vrijwillige basis.
Zowel de oprichting statuten alsook het beleidsplan zijn opvraagbaar via een e-mail aan info@bilabwa.org met vermelding van uw naam, organisatie en contact gegevens.
NL62 INGB 0007 918081
KVK 76 33 4252

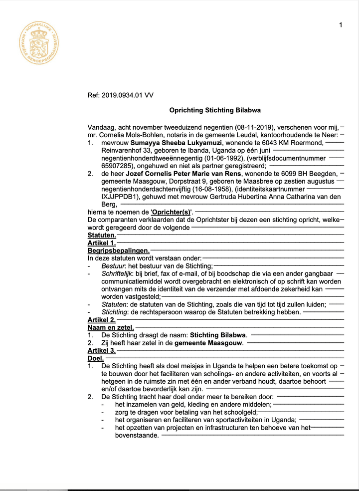
Statuten pagina 01
241109
8 november 2019 werd Stg Bilabwa opgericht en passeerden de statuten bij notaris Mols te Neer.

Statuten pagina 02
241109

Statuten pagina 03
241109

Statuten pagina 04
241109

Statuten pagina 05
241109

Statuten pagina 06
241109

Statuten pagina 07
241109

Jaarrekening 2021
2021
Pagina 01

Jaarrekening 2022
2022
Pagina 01

Jaarrekening 2023
2023
Pagina 01

Jaarrekening 2024
2024
Pagina 01

Jaarrekening 2025
2025
Pagina 01
The Bilabwa Blog
Last Bilabwa news
Uganda & the Netherlands
Find us all over the world!

Sumayya Sheeba Lukyamuzi
Founder
Chairwoman

Jos van Rens
Co-Founder
Treasurer

Naomi Namutebi
Secretary
Sign Up For Our Newsletter
Follow us wherever we are!
© 2019 Jos van Rens Creatief































































